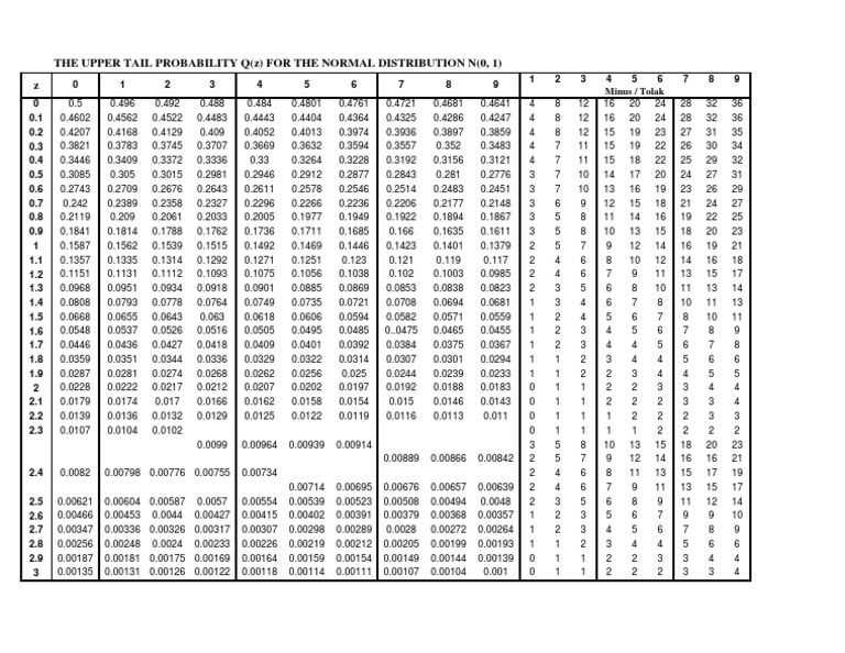
Upper Tail Probability Table
Solved My Notes Ask Your Teacher 7 6 66 Points Mintrosta9 Chegg Com
Normal Distribution Table Pdf Statistical Theory Probability And Statistics
T Distribution Critical Values Upper Tail Probability Chegg Com


Comments
Post a Comment